Continuité pédagogique de 5e6
Confinés mais motivés.
Prenez soin de vous.
¡Hasta muy pronto! 
Lundi 29 Juin (page 1)
Bonjour,
Je vous ai déposé en page 2 la correction de l'ex 4 p 22. Je vous mets en page 1 le cours sur les propriétés des états physiques de l'eau que vous pouvez imprimer ou recopier dans votre classeur pour vendredi 3 Juillet.
Je vous demande également un dernier effort en faisant les ex 5 et 7 p 22 pour le 3 Juillet.
Bonne dernière semaine.
Madame de Laborie.
Posted by idelaborie
Lundi 29 Juin (page 2)
Voici la correction de l'ex 4 p 22.
Posted by idelaborie
Lundi 22 Juin (page 1)
Bonjour
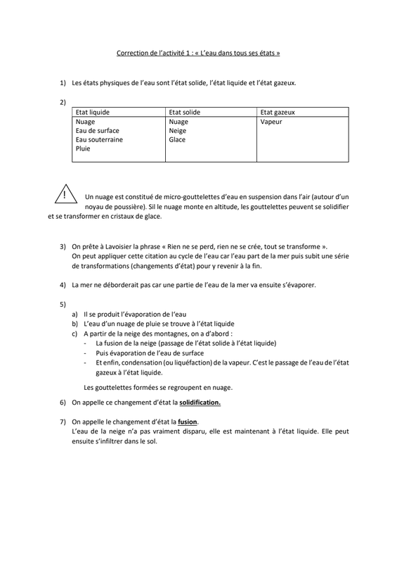
Je vous dépose les corrections du QCM (page 2) et de l'activité 1 "L'eau dans tous ses états". Je vous demande de les noter sur votre classeur.
Comme application, je vous demande faire dans votre classeur partie exercices de chimie l'exercice 4 p 22 de votre manuel pour le vendredi 26/06.
Posted by idelaborie
Lundi 22 Juin (page 2)
Voici la correction du QCM que vous m'avez renvoyé.
Posted by idelaborie
Vendredi 12 Juin
Bonjour,
L'activité 1 sur les changements d'état de l'eau est à faire pour le vendredi 19 Juin sans me la renvoyer.
Je vous ai aussi préparé un petit QCM sur la sécurité que je vous envoie par mail sur l'ENT car le netboard n'accepte que les pdf et c'est un fichier Word à compléter directement. Le QCM sera à me renvoyer sur mon casier ENT et non sur mon mail pour le mardi 16 Juin.

Bonne semaine.

Madame de Laborie.
Posted by idelaborie
Vendredi 5 Juin (page 1)
Bonjour
Je vous demande de recopier le plan du cours sur une feuille de classeur et d'y ajouter les paragraphes II et III que vous trouverez sur les deux pages suivantes. Vous devrez ensuite apprendre cette leçon pour le vendredi 12 Juin.
Bonne semaine.
Posted by idelaborie
Vendredi 5 Juin (page 2)
Méthode à coller ou à recopier dans le paragraphe II) du chapitre I.
Posted by idelaborie
Vendredi 5 Juin (page 3)
Voici les schémas des récipients en verre que vous devez recopier en respectant le nombre de carreaux sur votre feuille de cours.
Posted by idelaborie
Mardi 2 Juin
Bonjour
Je vous dépose la correction du tableau des pictogrammes, je vous demande de la recopier et de l'apprendre. Pour le dernier pictogramme "dangereux pour l'environnement", il faut écrire la phrase ; "Ne pas jeter ce produit dans l'évier".
Posted by idelaborie
Lundi 25 Mai (page1)
Bonjour
Voici le travail à faire pour mardi 2 juin. Le travail n'est pas à renvoyer.
Sur la page 2, vous trouverez un tableau avec les différents pictogrammes de danger(en rouge) et leur signification. Le travail à faire est de dessiner les pictogrammes de conseils de prudence que vous trouverez sur la page 1 dans les cases Prudence. Il peut y avoir plusieurs pictogrammes dans la même case. Si vous n'avez pas d'imprimante, vous pouvez reproduire le tableau sans les textes sur une feuille de classeur et dessiner les pictogrammes dedans.
Bonne semaine.
Madame de Laborie.


Posted by idelaborie